有机表面活性剂的作用有哪些

日期:09-26  点击:7478  属于:产品技术
生产水泥时,需把烧成的熟料和混合材一同研磨至要求的细度,这一过程所产生的电耗约占总电耗的70%,也直接影响着水泥质量,采取什么方法和手段来影响或改变这一过程,以达到提高研磨效率,增加水泥强度,降低生产成本的目的,是水泥生产技术人员正在积极研究和探讨的科研课题。那么有机表面活性剂的作用有哪些?
生产水泥时,需把烧成的熟料和混合材一同研磨至要求的细度,这一过程所产生的电耗约占总电耗的70%,也直接影响着水泥质量,采取什么方法和手段来影响或改变这一过程,以达到提高研磨效率,增加水泥强度,降低生产成本的目的,是水泥生产技术人员正在积极研究和探讨的科研课题。那么有机表面活性剂的作用有哪些?
 
讨论和研究醇胺类表面活性剂, 它们是怎样对水泥粉磨产生影响和作用的。
醇胺类表面活性剂的特点:
1) 具有较好的吸附性。
2) 具有较强的极性。
3)具有良好的润滑性。
在助磨剂实际应用中,我们发现,所采用的大部分醇类表面活性剂对提高粉磨产量都很突出。但对筛余、比表面积的提高甚小,对早期和后期强度有降低趋势。而大部分醇胺类表面活性剂对产量影响虽不如醇类,但对筛余、颗粒物分布以及早期强度影响较大。如三乙醇胺可明显减少筛余,可增加对水泥强度贡献最大的3~30μm级颗粒的数量[8]。并能明显提高产量和早期强度,不足是对比表面积和后期强度影响甚微。而三异丙醇胺三乙醇胺可提供更好的颗粒级配。最突出的特点是可提高水泥的后期强度,不足是对水泥早期强度影响较小,引气性较强,可带来空隙率的增大。而一乙醇二异丙醇胺,由于带有羟丙基基团与三乙醇胺相比其影响特性又有所不同。它在具备三乙醇胺及异丙醇胺特点外,可提高水泥早期强度,特别是能提高后期强度,且带入的气体量也比三异丙醇胺少。
摆在我们面前的问题是,如何最大限度的将它们的特点进行互补,从而得出一种较为完美、较理想的助磨剂,是我们欲通过试验解决的问题。
研究选用三乙醇胺三异丙醇胺、一乙醇二异丙醇胺为助磨材料,经单一和组合实验,分析出他们在参与粉磨时对水泥物理性能的影响和作用,并得出结论。
1试验与方法
1.1材料
1.1.1水泥材料
水泥材料:市场中常见熟料。
矿渣:市场中常见的矿渣。
石膏:市场中过常见的石膏。
1.1.2助磨剂材料
G剂:三乙醇胺,分析纯,含量99%。
H剂:三异丙醇胺,工业级,含量85%。
D剂:一乙醇二异丙醇胺,工业级,含量85%。
1.1.3材料成分
水泥熟料、矿渣、石膏化学成分见表1。水泥熟料率值、矿物组成见表2。

1.1.4主要仪器
PE60×100颚式破碎机,SYMΦ500mm×500mm水泥试验磨,粉体物性测试仪(日本细川公司产),FAM激光粒度测试仪,SXY150-13负压筛析仪(80μm),NRJ-411型水泥胶砂搅拌机,G2-85型水泥胶砂振动台,GZ-15型水泥胶砂振实台,DYZ-500型电动抗折试验机,MYL-300B型压力实验机。
1.2方法
首先将粗料用颚式破碎机处理,粒度<0.3cm,模仿实际生产中的物料配比(熟料60%,矿渣35%,石膏5%),组成实验基料亦为空白对照样,每组实验基料为5kg。选:J剂(三乙醇胺)、T剂(三异丙醇胺)、H剂(一乙醇二异丙醇胺)、JT剂(J0.5+T0.5)、JH剂(J0.5+H0.5)和TH剂(T0.5+H0.5)为6种助磨剂(助磨剂为外加剂,可稀释成水溶液约120mL,用喷壶或注射器均匀洒入实验基料中)。分别做小磨试验,按国家水泥检测标准对其部分物理性能进行检测。
2结果与讨论
2.1对水泥细度(筛余)的影响
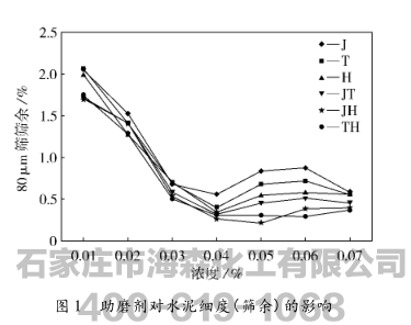
助磨剂取不同添加量,粉磨时间为35min,不同助磨剂对水泥细度(筛余)的影响见图1(同条件下空白样筛余为3.98)。
图1助磨剂对水泥细度(筛余)的影响从图1看出,6种助磨剂对筛余的提高非常明显,加量不同对筛余影响也不同。添加量在0.01%~0.03%之间,筛余随浓度增加而变小,即细度在逐渐提高。6种助磨剂使筛余达到最低值顺序是:TH(0.51%)<JH(0.53%)<JT(0.58%)<J(0.68%)<T(0.69%<H(0.70%).添加量在0.04%~0.07%之间筛余又随浓度增大而增大,即细度有所降低,J剂由0.68%增至0.76%,T剂由0.69%增至0.73%,H剂由0.70%增至0.76%,JT剂由0.58%增至0.72,JH剂由0.53%增至0.71%,TH剂由0.51%增至0.57%。看出添加量小于0.03%效果不明显,大于0.03%又有相反作用,最佳添加量为0.03%左右。
2.2对水泥流动性的影响
粉体测试仪可测出粉体的休止角、崩溃角、差角、平板角、压缩度、凝聚度、分散度、均匀度、松散容重和密实容重等10项指标。可用其中4个指标:休止角、平板角、压缩度、凝聚度(或均匀度)来反应水泥粉体的流动性,每项指标最高値为25,总指标最高值为100。总值越高流动性越好[9],提高粉磨产量越多,对粉体的导流装卸也越有益。不同助磨剂对水泥流动性的影响见图2。
从图2中分析,不同添加量总指数也不同:H剂为0.03%时最大达到41.71,J剂次之为40.88,JH剂为0.04%时为40.41,TH剂为0.07%时为40.38,JT剂在0.05%时为40。37,T剂在0.06%时最小为40.01。含量在0.03%~0.07%之间6种助磨剂都有最大値,说明大的含量有利于粉体流动性增加,这是因为有机表面活性剂具有良好762第2期黄志金,等:有机表面活性剂对水泥研磨的影响和作用的活性和润滑性造成的。含量在0.03%时有两组助磨剂达到最大値,考虑到价格因素,加量在0.03%时对粉体流动性有益。从对水泥的筛余和流动性影响看,添加量大致确定为0.03%。亦为下面试验所采用。
2.3对水泥粒度的影响
加入不同助磨剂对水泥粒度的影响见表3。
表3表明,加入助磨剂后,粉体中3~30μm的颗粒含量分别由空白样的51.29%增加到56.58%,57.34%,58.19%,58.60%和58.16%;而>65μm的颗粒含量由14.35%减少到9.18%,6.99%,7.96%,8.55%,7.34%。可见加入助磨剂后,颗粒级配明显变化,粗颗粒减少,细颗粒增多,特别是对3~30μm级颗粒(此级颗粒对水泥强度贡献最大)提高数量较大,突出的如JT剂和JH剂。它们都比单一使用时效果好。
2.4对水泥强度的影响
取最佳添加量0.03%,助磨时间45min,下面是不同助磨剂对水泥性能的影响,见图3。
图3中显示,6种添加剂对1、3、7、28天强度均有提高,提高3天强度顺序为TH>JH>JT>H>J>T,分别提高了36.56%,35.67%,35.55%,35.30%,30.63%和27.44%。看出TH剂早强效果最好,3种组合都比单一使用效果好。提高28天强度顺序为JT>TH>JH>H>T>J,分别提高了15.93%,15.90%,15.63%,14.71%,13.53%和3.17%。J剂提高最小,几乎对28天强度没作用,3种组合的贡献较突出,都提高大约16%。
6种助磨剂对凝结时间无不利影响,安定性全部合格。对比表面积影响不定向,目前有争议,暂不作研究讨论。
 
 
微信扫描关注我们
电子天平,华志电子天平,二氧化氯,化学试剂,玻璃仪器,进口化学试剂,化工原料,精密仪器,电子称,山东化工,青岛精科,生化试剂,仪器仪表

联系人:马先生

手机:18603311238

电话:13032684758 400-619-1068

邮件:haisenmmy@163.com

地址:河北省石家庄市平安北大街158号紫晶广场A座12层

石家庄市海森化工有限公司 版权所有 冀ICP备09012758号-2  技术支持:杰云网络