有机表面活性剂对水泥研磨的影响和作用

日期:10-03  点击:6887  属于:产品技术
助磨剂运用于水泥生产以来,有机表面活性剂就被选为助磨材料。这些有机物从化学性质上看,它们都具有较好的吸附性,较强的极性和良好的润滑性。这些特性会对水泥研磨过程和水化过程产生影响。根据实验得出有机表面活性剂对水泥研磨时的细度、粒度和强度都有不同程度的作用。经反复试验,确定了表面活性剂三乙醇胺、三异丙醇胺、一乙醇二异丙醇胺为优秀助磨材料,从影响粉体物理性能结果看,3种组合都可作为优秀助磨剂,3种组合都能增加物料的流动性,使总流动性指数上升1~3个百分点,提高粉磨产量16%~20%,可明显提高物料的细度,特别是可提高3~32μm颗粒的含量10%~18%,可提高粉磨产量20%,可提高3d抗压强度15%,28d抗压强度25%以上。添加量在0.03%左右为宜。优选顺序是:TH>JT>JH。
生产水泥时,需把烧成的熟料和混合材一同研磨至要求的细度,这一过程所产生的电耗约占总电耗的70%,也直接影响着水泥质量,采取什么方法和手段来影响或改变这一过程,以达到提高研磨效率,增加水泥强度,降低生产成本的目的,是水泥生产技术人员正在积极研究和探讨的科研课题。
有机表面活性剂对水泥研磨的影响和作用
 
研磨中加入助磨物质是解决这一问题的方法之一。助磨剂是一类化学添加剂。20世纪30年代英国人Godard曾用树脂作为助磨剂并申请了专利。60年代美国、德国、前苏联等发达国家开始选取多种有机化合物作为助磨材料。优选出如醋酸盐、木质素磺酸盐、乙二醇、三乙醇胺、煤的提取物等化合物。中国助磨剂研究起步较晚,自50年代开始将纸浆废液、肥皂液等有机副产品作为助磨材料使用。80年代助磨剂的应用和开发受到广泛重视,正式把水泥助磨剂的研究列为国家节能科研项目。经多次修订,国家发改委于2004年10月批准颁布了《水泥助磨剂标准》(JC/T667—2004),随之有多种助磨剂被应用,如无机助磨剂、有机助磨剂以及由它们组合而成的复合助磨增强剂。其中有机助磨剂大部分为有机表面活性剂:胺类如醋酸胺,醇胺类如三乙醇胺,醇类如乙二醇丙三醇,木质素磺酸盐类如木质素磺酸钙,烷基苯磺酸盐类如十二烷基磺酸钠。以上几种助磨剂中醇胺类表面活性剂在我国应用最广,取得的效果最为明显。
醇胺类表面活性剂的特点:
1)具有较好的吸附性。
2)具有较强的极性。
3)具有良好的润滑性。
有机表面活性剂的加入,也影响着水泥水化时的化学反应过程,如三乙醇胺形成的介面,对参与水化反应的Ca2+有传递作用,可加快钙矾石的生成[6]。它还可促进铝酸盐的早期水化。以上2个因素都影响着水泥的早期强度。含羧基的有机酸可与水泥浆体中的Ca(OH)2作用生成稳定的钙盐。促使水化反应向正方向进行,这一填充作用增加了最终反应物水泥石的密度。即提高了水泥的后期强度。据文献[7]报道,具有羟丙基基团的非离子表面活性剂更容易在破裂面的活性中心吸附,导致颗粒之间的吸附减少,并增加颗粒表面活性,有益于水泥后期强度的提高,但易带入较多的气体,使孔隙率值上升,影响水泥后期强度的增进率。
研究选用三乙醇胺三异丙醇胺、一乙醇二异丙醇胺为助磨材料,经单一和组合实验,分析出他们在参与粉磨时对水泥物理性能的影响和作用,并得出结论。
1试验与方法
1.1材料
1.1.1水泥材料
水泥材料:普通熟料。
矿渣:市面上常见的矿渣。
石膏:面上常见的石膏。
1.1.2助磨剂材料
G剂:三乙醇胺,分析纯,含量99%。
H剂:三异丙醇胺,工业级,含量85%。
D剂:一乙醇二异丙醇胺,工业级,含量85%。
1.1.3材料成分
水泥熟料、矿渣、石膏化学成分见表1。水泥熟料率值、矿物组成见表2。

1.1.4主要仪器
PE60×100颚式破碎机,SYMΦ500mm×500mm水泥试验磨,粉体物性测试仪(日本细川公司产),FAM激光粒度测试仪,SXY150-13负压筛析仪(80μm),NRJ-411型水泥胶砂搅拌机,G2-85型水泥胶砂振动台,GZ-15型水泥胶砂振实台,DYZ-500型电动抗折试验机,MYL-300B型压力实验机。
1.2方法
首先将粗料用颚式破碎机处理,粒度<0.3cm,模仿实际生产中的物料配比(熟料60%,矿渣35%,石膏5%),组成实验基料亦为空白对照样,每组实验基料为5kg。选:J剂(三乙醇胺)、T剂(三异丙醇胺)、H剂(一乙醇二异丙醇胺)、JT剂(J0.5+T0.5)、JH剂(J0.5+H0.5)和TH剂(T0.5+H0.5)为6种助磨剂(助磨剂为外加剂,可稀释成水溶液约120mL,用喷壶或注射器均匀洒入实验基料中)。分别做小磨试验,按国家水泥检测标准对其部分物理性能进行检测。
2结果与讨论
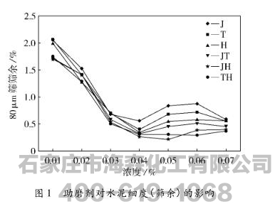
2.1对水泥细度(筛余)的影响
助磨剂取不同添加量,粉磨时间为35min,不同助磨剂对水泥细度(筛余)的影响见图1(同条件下空白样筛余为3.98)。
 
图1助磨剂对水泥细度(筛余)的影响从图1看出,6种助磨剂对筛余的提高非常明显,加量不同对筛余影响也不同。添加量在0.01%~0.03%之间,筛余随浓度增加而变小,即细度在逐渐提高。6种助磨剂使筛余达到最低值顺序是:TH(0.51%)<JH(0.53%)<JT(0.58%)<J(0.68%)<T(0.69%<H(0.70%).添加量在0.04%~0.07%之间筛余又随浓度增大而增大,即细度有所降低,J剂由0.68%增至0.76%,T剂由0.69%增至0.73%,H剂由0.70%增至0.76%,JT剂由0.58%增至0.72,JH剂由0.53%增至0.71%,TH剂由0.51%增至0.57%。看出添加量小于0.03%效果不明显,大于0.03%又有相反作用,最佳添加量为0.03%左右。
2.2对水泥流动性的影响
粉体测试仪可测出粉体的休止角、崩溃角、差角、平板角、压缩度、凝聚度、分散度、均匀度、松散容重和密实容重等10项指标。可用其中4个指标:休止角、平板角、压缩度、凝聚度(或均匀度)来反应水泥粉体的流动性,每项指标最高値为25,总指标最高值为100。总值越高流动性越好,提高粉磨产量越多,对粉体的导流装卸也越有益。不同助磨剂对水泥流动性的影响见图2。
从图2中分析,不同添加量总指数也不同:H剂为0.03%时最大达到41.71,J剂次之为40.88,JH剂为0.04%时为40.41,TH剂为0.07%时为40.38,JT剂在0.05%时为40。37,T剂在0.06%时最小为40.01。含量在0.03%~0.07%之间6种助磨剂都有最大値,说明大的含量有利于粉体流动性增加,这是因为有机表面活性剂具有良好的活性和润滑性造成的。含量在0.03%时有两组助磨剂达到最大値,考虑到价格因素,加量在0.03%时对粉体流动性有益。从对水泥的筛余和流动性影响看,添加量大致确定为0.03%。亦为下面试验所采用。
2.3对水泥粒度的影响
加入不同助磨剂对水泥粒度的影响见表3。
表3表明,加入助磨剂后,粉体中3~30μm的颗粒含量分别由空白样的51.29%增加到56.58%,57.34%,58.19%,58.60%和58.16%;而>65μm的颗粒含量由14.35%减少到9.18%,6.99%,7.96%,8.55%,7.34%。可见加入助磨剂后,颗粒级配明显变化,粗颗粒减少,细颗粒增多,特别是对3~30μm级颗粒(此级颗粒对水泥强度贡献最大)提高数量较大,突出的如JT剂和JH剂。它们都比单一使用时效果好。
2.4对水泥强度的影响
取最佳添加量0.03%,助磨时间45min,下面是不同助磨剂对水泥性能的影响,见图3。
图3中显示,6种添加剂对1、3、7、28天强度均有提高,提高3天强度顺序为TH>JH>JT>H>J>T,分别提高了36.56%,35.67%,35.55%,35.30%,30.63%和27.44%。看出TH剂早强效果最好,3种组合都比单一使用效果好。提高28天强度顺序为JT>TH>JH>H>T>J,分别提高了3%,15.90%,15.63%,14.71%,13.53%和3.17%。J剂提高最小,几乎对28天强度没作用,3种组合的贡献较突出,都提高大约16%。
6种助磨剂对凝结时间无不利影响,安定性全部合格。对比表面积影响不定向,目前有争议,暂不作研究讨论。
3结论
1)三乙醇胺三异丙醇胺、一乙醇二异丙醇胺及其组合对水泥粉体物理性指标影响较大,都可作为优良的助磨剂。
2)对不同的六种助磨剂而言,添加量在0.03%左右为宜。
3)有机表面活性剂在实用浓度范围内,添加量越大对流动性贡献越大。
4)三乙醇胺对早期强度贡献较大可做助磨早强剂。
5)三异丙醇胺明显提高后期强度,对流动性影响最大。
6)一乙醇二异丙醇胺可提高不同龄期的强度,较前2种提高幅度都大。对筛余影响较小。
7)组合使用比单一使用效果好,从影响粉体最终结果强度指标看,3种组合都可作为优秀助磨剂,优选顺序是:TH>JT>JH。
微信扫描关注我们
电子天平,华志电子天平,二氧化氯,化学试剂,玻璃仪器,进口化学试剂,化工原料,精密仪器,电子称,山东化工,青岛精科,生化试剂,仪器仪表

联系人:马先生

手机:18603311238

电话:13032684758 400-619-1068

邮件:haisenmmy@163.com

地址:河北省石家庄市平安北大街158号紫晶广场A座12层

石家庄市海森化工有限公司 版权所有 冀ICP备09012758号-2  技术支持:杰云网络