三乙醇胺(triethanolamine,TEA)在水泥混凝土中的使用历史已有几十年[1],其常作为有机水泥助磨剂的主要组分或者混凝土减水剂的添加剂引入到水泥或者混凝土中。TEA 在水泥助磨剂中的主要作用是降低水泥粉磨过程中的颗粒团聚,提高粉磨效率并优化粒径分布;同时,在水泥水化硬化过程中,TEA可以通过影响水泥水化进程而影响水泥的凝结时间、强度发展等性能。通常 TEA 具有较好的提高水泥早期强度的作用,尤其对于有矿渣或粉煤灰等掺合料的复合水泥。在混凝土减水剂中,常常加入少量 TEA 作为防冻剂,以促进混凝土在较低温度下的强度增长或者加入 TEA 来部分抵消减水剂带来的缓凝问题。无论 TEA 是通过水泥助磨剂,还是通过混凝土减水剂的形式引入到混凝土中,在混凝土拌合后的凝结硬化过程中,其对凝结时间、强度发展均产生影响。
三乙醇胺(triethanolamine,TEA)在水泥混凝土中的使用历史已有几十年[1],其常作为有机水泥助磨剂的主要组分或者混凝土减水剂的添加剂引入到水泥或者混凝土中。TEA 在水泥助磨剂中的主要作用是降低水泥粉磨过程中的颗粒团聚,提高粉磨效率并优化粒径分布;同时,在水泥水化硬化过程中,TEA可以通过影响水泥水化进程而影响水泥的凝结时间、强度发展等性能。通常 TEA 具有较好的提高水泥早期强度的作用,尤其对于有矿渣或粉煤灰等掺合料的复合水泥。在混凝土减水剂中,常常加入少量 TEA 作为防冻剂,以促进混凝土在较低温度下的强度增长或者加入 TEA 来部分抵消减水剂带来的缓凝问题。无论 TEA 是通过水泥助磨剂,还是通过混凝土减水剂的形式引入到混凝土中,在混凝土拌合后的凝结硬化过程中,其对凝结时间、强度发展均产生影响。
大量研究表明,TEA 对水泥的凝结时间、强度发展的影响与其掺量以及水泥胶凝材料组成密切相关[2]。TEA 对水泥强度的影响,在掺量为 0.02%~0.1%时,可显著提高水泥早期强度(1 d),但降低后期强度(28 d);在高掺量下(1.00%),TEA 均导致早期强度和后期强度的降低。TEA 对粉煤灰水泥的早强效果更为明显,早强功能持续时间延长[3]。对水泥凝结时间的影响,通常 TEA 在掺量为 0.02%~0.10%时,对水泥有明显的促凝作用;掺量大于0.10%时,则导致水泥缓凝;掺量达到 1.00%时,水泥出现闪凝[4–5]。Ramachandran 发现 TEA 加速了C A 的水化进程,延长 C S 的诱导期[6–7]。赵苏等[8]射线荧光光谱测定的水泥化学组成。表 2 是由激光粒度仪测定的水泥粒径分布。可见,颗粒粒径主要集中在 3~50 μm,中位粒径(D50)为 19.83 μm。
三乙醇胺, 氢氧化钙等实验所用化学药品均为化学分析纯。
.png)
1.2 方 法
1.2.1 水泥水化热 采用八通道微量热仪3 3发现 TEA 使水泥促凝时,早期形成大量钙矾石和水铝石。Menek 等[9]通过方波伏安法测定 TEA 的吸附量,发现随着水泥水化的进行,吸附量逐渐增加, 同时 12 h 时达到饱和。已有大量研究探讨了 TEA 对水泥强度发展和凝结时间的影响机理,基本都是从 TEA 对水泥水化过程的影响角度来开展研究的。研究发现,TEA 可以与溶液中铁、铝离子形成络合物,从而促进铝酸三钙(C3A)、铁铝酸三钙(C4AF)的水化生成钙矾石(Aft)[10]。通常认为 TEA 对硅酸三钙(C3S)的水化略有延缓作用,并可以加速硫酸盐的消耗及 AFt 向单硫型水化硫铝酸钙(AFm)的转化。水泥早期水化是溶解沉淀的过程,水泥浆体液相中的离子是固相水泥和水化产物之间的过渡。因此,跟踪监测水泥浆体液相中离子组成及浓度的变化,对于研究水泥水化动力学具有重要意义。目前,国内外有关 TEA 对水泥浆体液相中离子组成影响的报道还很少。因此, 采用电感耦合等离子体发射光谱仪(ICP–OES)测定了水化水泥浆体液相中离子浓度,通过总有机碳分析的方法(TOC)测定了液相中 TEA 浓度的变化,研究 TEA 对水化过程中水泥浆体液相中离子组成的影响。用等温微量热仪研究了 TEA 对水泥水化热的影响。测定了在饱和氢氧化钙溶液和含有氢氧化钙沉淀的溶液中加入 TEA 对溶液电导率和 pH 的影响。
1 实 验
1.1 原 料
水泥由95%的北京水泥厂生产的熟料和5%的天然石膏混合,在实验室粉磨制得。表 1 给出了通过 X
(Thermometrics TAMair)测定水灰比为 0.3,TEA 掺量为水泥质量 0.10%的水泥浆体水化热。因为该量热仪需要热平衡,不能精确测定水泥与水拌合 30min 内的水化热结果,所以进一步使用 Toni Technik7338 微量热仪测定拌合后2 h 内的水泥浆体水化热。1.2.2 水化过程中水泥浆体液相中的离子浓度测量将水灰比为 0.6,拌合水中 TEA 的浓度分别为0、19 或 190 mmol/L 制得的水泥浆体放在密闭容器中,用磁力搅拌器搅拌 5 min、30 min、1 h、4 h、8 h 后,在转速为 3 000 r/min 的离心机中离心分离 10 min,取上清液通过 0.22 μm 的滤膜过滤。使用 pH 计测定滤液的 pH 值,随后加入硝酸调节溶液的 pH 至 5~6。使用电感耦合等离子体发射光谱仪测定溶液中元素组成,实验仪器为 IRIS Intrepid II XSP。使用 TOC-5000,测定滤液中 TEA 的浓度。
1.2.3 TEA 对氢氧化钙溶液电导率和 pH 的影响在饱和的氢氧化钙溶液和含有氢氧化钙沉淀的饱和溶液中逐渐加入 TEA,测定随着 TEA 浓度的增加,溶液电导率和 pH 值的变化。使用电导率仪器为 DDS-11A,上海虹益仪器仪表有限公司制造。
2 结果与讨论
2.1 水泥水化热
图 1 为 TEA 对水泥水化热的影响。从图 1a 可见:TEA 明显增高了水泥水化的第 1 个放热峰,该放热峰是由水泥的初期溶解和铝相的初期水化产生的[11]。表明 TEA 明显促进了水泥的早期溶解和铝相的水化,这一点与其它研究结果一致[10]。由图 1b 可见,TEA 延长了水泥水化诱导期,同时改变了主放热峰的形状。通常认为,水泥水化的 2 个放热峰一个是由 C3S 的水化产生的,另一个则是由于硫酸盐的耗尽,AFt 向 AFm 转化产生的[11]。由于 TEA 可以加速水化过程中硫酸盐的消耗和铝相的水化, 从而使得硫酸盐提前耗尽,AFt 向 AFm 转化的放热峰提前;同时使 C3S 的放热峰延后,最终结果表现为两个峰重叠合并为一个较高的放热峰。综上水泥水化热测试结果表明,TEA 略微推迟了水泥中的C3S 水化,并促进了铝相水化[6–7]。但从图 1c 可以看出,在水泥与水拌合 40 h 以内,TEA 的加入略微降低了水化累积放热量,但对水化 3 d 的累积放热量并无明显影响。
2.2 TEA 对水化过程中水泥浆体液相组成的影响通过测量浆体液相中的各种离子浓度的变化, 可以帮助理解 TEA 对水泥水化进程的影响机制。图2 为水化过程中水泥浆体液相中TEA 浓度的变化趋势。由图 2 可见,水泥水化前 1 h 内 TEA 的浓度没有发生明显的变化;水化进行到 4 h 时,TEA 的浓度已经发生了明显的降低;到水化 8 h 时,浆体液相中存在的 TEA 浓度已经非常低。结合水化热测试结果(见图 1),水泥水化 4 h 时已经进入水化加速期,表明浆体液相中 TEA 的消耗主要发生在水化加速期。众所周知,水泥水化加速期主要形成氢氧化钙(CH) 和水化硅酸钙(C–S–H)等水化产物。因此,可以推测TEA 的消耗主要是由于其进入到水化产物内部或者被吸附在水化产物表面所致。
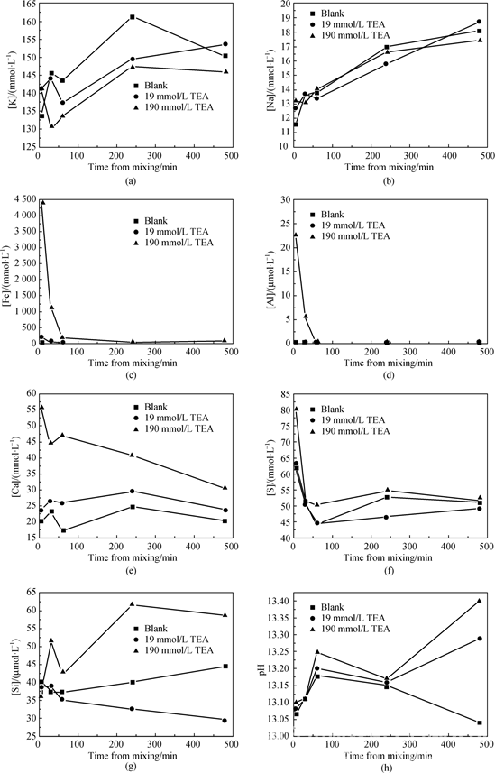
图 3 为水化过程中,水泥浆体液相中各种离子
浓度的变化趋势。由图 3a 和图 3b 发现,与空白水泥相比,TEA 对溶液中的钾离子和钠离子浓度影响不大。水泥浆体溶液中的钾离子和钠离子浓度主要受溶解扩散控制,TEA 的加入对其影响很小。
由图 3c 和图 3d 可见,TEA 的加入明显提高了拌合后 1 h 内浆体液相中 Fe 和 Al 元素的浓度。前人研究表明,TEA 可以与 Fe 和 Al 形成胺–铁(胺– 铝)络合物[10,12]。因此,液相中 Fe 和 Al 元素的浓度的提高,可能是由于络合物的形成导致。浆体溶液中 Fe 和 Al 元素的浓度提高,表明 TEA 促进了水泥水化早期铝相(C3A 和 C4AF)的溶解和水化,从而提高了水化水泥初期的放热速率,这与图 1a 中的实验结果相一致。水泥中掺入大量 TEA,加快钙矾石和水铝石的形成,使水泥产生速凝,可能就是由于TEA 提高水化水泥浆体液相中 Fe 和 Al 元素的浓度,促进铝相水化导致的。
图3 还显示TEA 显著提高水化水泥浆体液相中Ca 元素的浓度(见图 3e),同时稍微提高溶液 Si、S 和 pH 值[见图 3f、3g、3h]。TEA 对钙离子浓度的影响目前很少受到关注。钙离子在水泥水化过程中具有重要的作用,了解 TEA 的加入对钙离子浓度的影响规律,对于揭示 TEA 对水泥水化进程影响机制至关重要。有关研究表明,水泥水化中 SO42–、SiO 4– 和 OH–主要和 Ca2+发生溶解沉淀平衡。浆体溶液中
Ca2+浓度的提高,通常会使 SO42–、SiO44–和 OH–的浓度降低[13]。这与本研究发现的结果相矛盾,认为
TEA与水泥浆体液相中的钙离子发生络合生成了络合钙离子。这样的话,水泥浆体液相中存在的钙离子可分为 2 种:一种是自由钙离子(free calcium ion, FCI) ;另一种是 TEA 和钙离子形成的络合物(Ca-TEA),称为络合钙离子(complexed calcium ion,
CCI)。与自由钙离子相比,钙离子与 TEA 形成的络合钙离子有更小的沉淀性。根据溶解沉淀平衡理论, 加入 TEA 后,由于络合钙离子的生成,使得水泥浆体溶液中的钙元素总浓度升高了。但浆体溶液中的自由钙离子浓度实际降低了,从而表现为 SO42–、
SiO44–和 OH–浓度的升高。这一点解释了为何 TEA 加入,同时导致了水泥浆体溶液中钙、硫、硅等元素以及 pH 值的升高。
2.3 TEA 对氢氧化钙溶液电导率和 pH 的影响
钙离子和 TEA 能否形成络合物,目前还未见相关报道。因此,通过电导法研究 TEA 与钙离子之间是否形成络合物。本研究配制了饱和 Ca(OH)2 溶液和含有Ca(OH)2 沉淀的饱和Ca(OH)2 溶液2 种溶液。
在其中加入 TEA,通过测量溶液加入 TEA 后电导率的变化,来了解溶液中发生的络合反应。图 4 给出了在饱和 Ca(OH)2 溶液和含有 Ca(OH)2 沉淀的饱和 Ca(OH)2 溶液中逐渐加入TEA,溶液电导率和 pH的变化。饱和 Ca(OH)2 溶液的电导率主要由其中的
Ca2+和 OH–贡献。在饱和 Ca(OH)2 溶液中加入 TEA,
TEA 和钙离子的络合,应该不会对其中 OH–浓度产生影响,但生成的络合钙离子,其移动性必然低于自由钙离子。因此,饱和 Ca(OH)2 溶液随着 TEA 的加入电导率逐渐降低,如图 4a 所示。由图 4b 可见,
TEA 加入到饱和 Ca(OH)2 溶液中, pH 基本没有变化,证实了溶液中 OH–离子浓度没有发生变化。
相反,在含有 Ca(OH)2 沉淀的饱和 Ca(OH)2 溶液中加入 TEA,由于 TEA 能够络合钙离子,会促进 Ca(OH)2 的继续溶解,导致溶液中 OH–的浓度升高,表现为 pH 升高,如图 4(b)所示。pH 升高会提
高溶液的电导率,而络合钙离子的形成会降低电导率,二者的综合作用导致含有 Ca(OH)2 沉淀的
Ca(OH)2 溶液的电导率变化不明显,如图 4a 所示。电导率的微弱增大,可能是由于溶液中 OH–对电导的贡献更大导致的。
由如上TEA 对饱和Ca(OH)2溶液电导率的影响可以推测,TEA 具有络合钙离子的作用,并且络合钙离子和自由钙离子相比与 OH–有更小的沉淀性。
Ca2+ 2OH Ca(OH) (s) Ca2+ nTEA [Ca nTEA]2+
(1)
(2)
[Ca nTEA]2+ +2OH [Ca nTEA](OH) (s)
(3)
TEA 与钙离子之间络合物的形成可以解释 2.2 节中 TEA 对水化水泥浆体液相中组成影响的实验结果。由于络合作用,TEA 增大了水泥浆体液相中
Ca2+的浓度,但是降低了自由钙离子的浓度,从而增大了溶液中 S 和 Si 元素以及 OH–的浓度。
Gartner 等认为 C3S 水化进入加速期是由于 CH 的成核决定的[14]。因此,TEA 与钙离子形成络合物一方面会降低自由钙离子的浓度,降低了 CH 的过饱和度,从而延长水泥水化诱导期;另一方面,TEA 的消耗发生在水泥水化加速期,TEA 进入了水化产物内部或者被吸附在水化产物表面,可能不利于水化产物的成核与生长,延长水泥水化诱导期。因此,
TEA 与钙离子络合这一现象,可以解释前人对于
TEA 推迟 C3S 和水泥水化影响的研究结果。
3 结 论
1) 0.10%TEA 增高了水泥水化的第一个放热峰,延长了水泥水化诱导期,增高了水泥水化放热主峰,对水泥水化前 3 d 的累积放热量影响很小。
2) 水泥浆体液相中 TEA 的消耗主要发生在水泥水化加速期,表明 TEA 通过化学反应或者物理吸附进入了水泥水化产物中。
3) TEA 明显提高水化水泥浆体液相中的 Fe、
Ca 和 Al 的浓度,同时提高了 S、Si 和 OH–的浓度。
4) TEA 加入到饱和 Ca(OH)2 溶液中,电导率测试结果证实了 TEA 可以与钙离子形成络合物。